使用人工智能检测阿拉斯加驯鹿数量:ModelBuilder中的深度学习与工具建议
GeoAI is rapidly changing how spatial analysis, imagery interpretation, and automated feature extraction are performed in ArcGIS Pro. As deep learning methods become increasingly powerful, tools that support fast experimentation, clear visualization, and efficient workflow refinement are also in rise. ModelBuilder also plays a central role in this evolution.GeoAI正在迅速改变ArcGIS Pro中空间分析、图像解译和自动化要素提取的执行方式。随着深度学习方法变得越来越强大,支持快速实验、清晰可视化和高效工作流优化的工具也在兴起。模型构建器在这一发展过程中也发挥着核心作用。
By combining visual workflow design with AI-enhanced capabilities, such as semantic search and intelligent tool suggestions, ModelBuilder provides an ideal environment for building, testing, and operationalizing GeoAI workflows with key advantages such as:通过将可视化工作流设计与语义搜索和智能工具建议等人工智能增强功能相结合,ModelBuilder提供了一个理想的环境,用于构建、测试和运行地理人工智能工作流,其主要优势包括:
- Quick Prototyping: Its visual, drag-and-drop interface enables it to connect the entire workflow, from exporting training data to performing detection into a working pipeline in minutes, vastly accelerating the initial concept validation.快速原型制作:其可视化的拖放界面能够连接从导出训练数据到执行检测的整个工作流程,在几分钟内形成一个可运行的管道,极大地加快了初始概念验证的速度。
- Workflow Iteration: Deep learning requires continuous testing of models, hyperparameters, and tool settings. With ModelBuilder, it is easy to change a single parameter and rerun the complex analysis sequence with a single click, saving significant time during the refinement stage.工作流迭代:深度学习需要对模型、超参数和工具设置进行持续测试。借助ModelBuilder,只需单击一下即可轻松更改单个参数并重新运行复杂的分析序列,从而在优化阶段节省大量时间。
- Visual Documentation: ModelBuilder acts as a self-documenting flowchart, providing clear visual clarity of the entire GeoAI process. This transparency is crucial for collaboration and ensures the complex methodology is easily understood and shared.可视化文档:ModelBuilder 充当自文档化流程图,为整个地理人工智能流程提供清晰的视觉清晰度。这种透明度对于协作至关重要,并确保复杂的方法易于理解和共享。
![图片[1]-ArcGIS人工智能检测ModelBuilder中的深度学习与工具建议-软件使用论坛-ArcGIS CityEngine-CityEngine城市引擎](https://www.esri.com/arcgis-blog/wp-content/uploads/2025/12/Model5-1.png)
Basic Tenants of GeoAI workflows in ArcGISArcGIS中GeoAI工作流的基本要素
ArcGIS Pro supports a complete end-to-end deep learning workflow, structured into four key steps, enabled by dedicated geoprocessing tools:ArcGIS Pro支持完整的端到端深度学习工作流,该工作流分为四个关键步骤,由专用的地理处理工具提供支持:
- Generate Training Data – Create labeled samples of features or objects of interest to help the model learn distinguishing patterns.生成训练数据——创建感兴趣的特征或对象的标记样本,以帮助模型学习区分模式。
- Train Model – Use the training data to build and optimize a deep learning model.训练模型——使用训练数据构建并优化深度学习模型。
- Validate Model – Evaluate the model’s performance by analyzing training and validation loss to detect issues like overfitting.验证模型——通过分析训练损失和验证损失来评估模型性能,以检测过拟合等问题。
- Run Inference – Apply the trained model to new datasets to identify and extract similar features automatically.运行推理——将训练好的模型应用于新数据集,以自动识别和提取相似特征。
![图片[2]-ArcGIS人工智能检测ModelBuilder中的深度学习与工具建议-软件使用论坛-ArcGIS CityEngine-CityEngine城市引擎](https://www.esri.com/arcgis-blog/wp-content/uploads/2025/12/Basic-Steps-of-GeoAI-Workflow2.png)
Optimizing Deep Learning Workflows with ModelBuilder Using Semantic Search and Tool Suggestions使用语义搜索和工具建议,通过ModelBuilder优化深度学习工作流
Steps, Details and Tips 步骤、详情和提示
This workflow is from the perspective of a wildlife biologist with a task to understand the current population of Caribou in Alaska and assess the landscape potential based on those counts. The workflow creation follows the steps below:此工作流程从一名野生动物生物学家的角度出发,其任务是了解阿拉斯加北美驯鹿的当前种群数量,并根据这些数量评估景观潜力。工作流程的创建遵循以下步骤:
- Create training data: Create the training dataset using the Label Objects for Deep Learningtool in ArcGIS Pro. Classify the animal into 2 classes Adult & Calf. 创建训练数据:使用ArcGIS Pro中的深度学习标签对象工具创建训练数据集。将动物分为两类:成年个体和幼崽。
- Create a model: Create a model by clicking the ModelBuilder button on the Analysis tab.创建模型:通过点击“分析”选项卡上的“模型构建器”按钮来创建模型。
![图片[3]-ArcGIS人工智能检测ModelBuilder中的深度学习与工具建议-软件使用论坛-ArcGIS CityEngine-CityEngine城市引擎](https://www.esri.com/arcgis-blog/wp-content/uploads/2025/11/Creating-a-new-Model.png)
3. Add Export Training Data tool to model using regular toolbox search or AI enhanced Semantic Search: Export the training data created in the previous step, to a format which the next tools can use as input. If you know the name of the next tool it is as easy as searching for the tool name from the ModelBuilder Ribbon toolbox.3. 添加 导出训练数据工具到模型,可使用常规工具箱搜索或人工智能增强的语义搜索:将上一步创建的训练数据导出为下一个工具可以用作输入的格式。如果您知道下一个工具的名称,只需从ModelBuilder功能区工具箱中搜索该工具名称即可。
Tip: If you do not know the tool name, you can search for tools using natural and conversational language, for example “how do I save my trained data”. This uses an AI-enhanced search technology called semantic search, to find the right tool for the job. 提示:如果您不知道工具名称,可以使用自然的对话语言搜索工具,例如“如何保存我训练的数据”。这会使用一种名为语义搜索的人工智能增强搜索技术来找到适合该任务的工具。
Learn more about Semantic Search in ModelBuilder了解有关ModelBuilder中语义搜索的更多信息
4. Fill in the Export Training Data tool: Connect the digitized samples and the Caribou detection landscape raster as input. Set “RCNN Masks” as the metadata format. The output will be image chips with masks over the areas where samples exist. The model generates bounding boxes and segmentation masks for each instance of an object in the image.4. 填写导出训练数据工具:连接数字化样本和北美驯鹿检测景观栅格作为输入。将“RCNN掩码”设置为元数据格式。输出将是在样本存在区域带有掩码的图像块。该模型会为图像中每个物体实例生成边界框和分割掩码。
5. Add the Train Deep Learning Model using AI-Enhanced Tool Suggestion: ModelBuilder now displays a short list of suggested next steps, allowing you to move forward quickly without searching through multiple tools or relying on external support.5. 添加使用AI增强工具建议来训练深度学习模型:ModelBuilder现在会显示一小部分建议的后续步骤,让您无需搜索多个工具或依赖外部支持即可快速推进。
Tip: You can easily discover the new “Tool Suggestion” feature by right-clicking the output of the current tool and viewing a context-aware list of suggested next tools.提示:你可以通过右键点击当前工具的输出,查看具有上下文感知的建议后续工具列表,轻松发现新的“工具建议”功能。
These suggestions come from a sequence prediction model that runs locally on the ArcGIS Pro machine. The model is trained on hundreds of thousands of tool usage logs from users who participate in the End User Experience Improvement (EUEI) program. ModelBuilder analyzes the upstream tools in the connected chain and suggests the tools most likely to come next in the sequence. Each tool displays a hover tip with details and lists additional tools. Based on the basic tenants of the Deep Learning Workflow, the next tool that most fits this workflow is a tool that Trains Deep Learning Model. You can generate suggestions for an individual chain by clicking its output or for all chains by using the Suggested Tool button in the ribbon.这些建议来自在ArcGIS Pro机器上本地运行的序列预测模型。该模型是基于数十万名参与终端用户体验改进(EUEI)计划的用户的工具使用日志训练而成的。ModelBuilder会分析连接链中的上游工具,并推荐序列中接下来最有可能使用的工具。每个工具都会显示带有详细信息的悬停提示,并列出其他工具。根据深度学习工作流的基本原理,最适合此工作流的下一个工具是“训练深度学习模型”工具。你可以通过点击单个链的输出来生成针对该链的建议,或者使用功能区中的“建议工具”按钮来生成针对所有链的建议。
6. Fill in the Train Deep Learning Model tool parameters: Connect the added tool and edit its parameters to train the model using the training dataset from the previous step. Set the Model Type parameter to MaskRCNN with a 90/10 training-test ratio. Use MaskRCNN for precise object delineation because it supports instance segmentation. The tool uses the “RCNN Masks” metadata format specified in the previous step. It prepares the data, performs data augmentation, and sets the appropriate hyperparameters to build a robust model. The training process automatically applies normalization and augmentation techniques such as contrast adjustment, brightness changes, and rotation.6. 填写 训练深度学习模型工具参数:连接已添加的工具并编辑其参数,以使用上一步骤中的训练数据集来训练模型。将模型类型参数设置为MaskRCNN,训练-测试比例为90/10。使用MaskRCNN进行精确的对象描绘,因为它支持实例分割。该工具使用上一步骤中指定的“RCNN掩码”元数据格式。它会准备数据、执行数据增强,并设置适当的超参数以构建稳健的模型。训练过程会自动应用归一化和增强技术,例如对比度调整、亮度变化和旋转。
7. Set a workspace value for the Output Folder parameter: This folder stores the model_metrics.html file, which you will use later to analyze model performance (explained below).7. 为“输出文件夹”参数设置工作区值: 此文件夹存储model_metrics.html文件,您稍后将使用该文件分析模型性能(如下所述)。
Tip 1: Because training can be time-consuming, start by setting the Max Epochs parameter to a smaller value, such as 10–30 epochs. After reviewing the initial results, the Epochs could be increased to 200 to improve accuracy. To stop training when model accuracy no longer improves, enable the “Stop when model stops improving” parameter in the tool.提示 1: 由于训练可能很耗时,首先将最大轮次参数设置为较小的值,例如 10–30 轮。查看初始结果后,可以将轮次增加到 200 以提高准确率。若要在模型准确率不再提升时停止训练,请启用工具中的“当模型停止提升时停止”参数。
Tip 2: This tool takes advantage of processing data using the computer central processing unit (CPU) or the graphics processing unit (GPU). 提示 2:此工具利用计算机中央处理器(CPU)或图形处理器(GPU)来处理数据。
Learn more about setting processor type in tool Environments了解更多关于在工具环境中设置处理器类型的信息
8. Add the Detect Objects Using Deep Learning tool: Select the output from the Train Deep Learning Model tool, review the suggested tools, and add Detect Objects Using Deep Learning. This tool applies the trained model to an input raster and generates a feature class of detected objects. The output can include bounding boxes, polygons, or points representing object locations. 8. 添加使用深度学习检测对象工具:选择来自训练深度学习模型工具的输出,查看建议的工具,并添加使用深度学习检测对象。此工具将训练好的模型应用于输入栅格,并生成检测到的对象的要素类。输出可以包括表示对象位置的边界框、多边形或点。
9. Configure Detect Objects Using Deep Learning tool parameters: Connect the tools using the trained model output from the previous step and the landscape raster to detect additional instances of the object the model was trained to identify. This creates a workflow, built from the tool suggestion in the context menu.9.配置使用深度学习检测对象工具参数:使用上一步训练的模型输出和地形栅格连接这些工具,以检测模型训练所识别对象的其他实例。这会根据上下文菜单中的工具建议创建一个工作流。
10. Running the model: Run the model to produce an output that detects caribou adults and calves for further analysis. Learn more about how to run a model in ModelBuilder.10. 运行模型:运行模型以生成检测驯鹿成体和幼崽的输出,以便进一步分析。了解更多关于如何在ModelBuilder中运行模型的信息。
Learn more about how to run a model in ModelBuilder.了解有关如何在ModelBuilder中运行模型的更多信息。
Tip: Run the tools up to the Train Deep Learning Model tool by right-clicking the tool and selecting Run.提示:右键单击工具并选择“运行”,最多运行到“训练深度学习模型”工具。
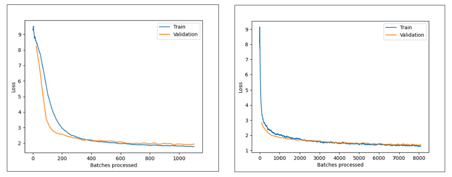
This creates a graph that shows training loss and validation loss during model training. You can find the graph in the model_metrics.html file located in the workspace set in the Output Folder parameter of the Train Deep Learning Model tool. Once the graph looks satisfactory (explained below), run the last tool by right-clicking it or using the Run button on the Model ribbon. Learn more about how to run a model in ModelBuilder. 这会生成一个图表,显示模型训练过程中的训练损失和验证损失。你可以在工作区的model_metrics.html文件中找到该图表,工作区由训练深度学习模型工具的“输出文件夹”参数设置。一旦图表看起来符合要求(下文将进行说明),通过右键单击最后一个工具或使用“模型”选项卡上的“运行”按钮来运行该工具。了解有关如何在ModelBuilder中运行模型的更多信息。
11. Validating the trained model performance: Use the loss curves graph to understand how learning performance changes across epochs and diagnose issues such as underfitting or overfitting. If the model is underfit or overfit, improve the training samples by adding more examples and including greater variety from different geographic and weather conditions.11. 验证训练模型的性能:使用损失曲线图表了解学习性能在各个轮次中的变化,并诊断欠拟合或过拟合等问题。如果模型存在欠拟合或过拟合情况,可通过添加更多示例以及纳入来自不同地理和天气条件的更多样化数据来改进训练样本。
![图片[4]-ArcGIS人工智能检测ModelBuilder中的深度学习与工具建议-软件使用论坛-ArcGIS CityEngine-CityEngine城市引擎](https://www.esri.com/arcgis-blog/wp-content/uploads/2025/12/Graph1-2.png)
Conclusion 结论
In summary, suggestions in ModelBuilder help to quickly get to the next step in a workflow, based on what other users with similar models have done. These tool suggestions apply to a wide range of workflows such as watershed delineation with all tools added from the context menu tool suggestions.总之,ModelBuilder 中的建议有助于基于其他使用类似模型的用户的操作,快速进入工作流的下一步。这些工具建议适用于广泛的工作流,例如通过从上下文菜单工具建议中添加所有工具来进行流域划分。
Required Libraries 所需库
GeoAI through Image Analyst Extension通过影像分析工具扩展模块实现的地理人工智能
Deep learning-based analysis in ArcGIS Pro requires the ArcGIS Image Analyst, which offers advanced tools for interpreting, analyzing, and extracting insights from various types of imagery.基于深度学习的ArcGIS Pro分析需要ArcGIS影像分析师,该工具提供了用于解译、分析各类影像并从中提取见解的高级工具。
Learn more about the Image Analysis Tools了解有关图像分析工具的更多信息
GeoAI by Installing Deep Learning Libraries通过安装深度学习库实现地理人工智能
To use deep learning geoprocessing tools in ArcGIS Pro, the appropriate deep learning framework libraries must be installed. For installation guidance, refer to the Deep Learning Libraries Installer for ArcGIS Pro.要在ArcGIS Pro中使用深度学习地理处理工具,必须安装适当的深度学习框架库。有关安装指南,请参阅ArcGIS Pro的深度学习库安装程序。
- Deep Learning Libraries Installer for ArcGIS Pro 3.6ArcGIS Pro 3.6深度学习库安装程序
- Deep Learning Libraries Installer for ArcGIS Pro 3.5ArcGIS Pro 3.5深度学习库安装程序
- Deep Learning Libraries Installer for ArcGIS Server 12.0ArcGIS Server 12.0 深度学习库安装程序
- Deep Learning Libraries Installer for ArcGIS Server Linux 12.0适用于ArcGIS Server Linux 12.0的深度学习库安装程序
- Deep Learning Libraries Installer for ArcGIS AllSource 1.5ArcGIS AllSource 1.5的深度学习库安装程序
Glossary of GeoAI and Key Terms in ArcGIS ProArcGIS Pro中的GeoAI及关键术语词汇表
Artificial Intelligence (AI) 人工智能(AI)
A broad field of computer science focused on creating systems that can perform tasks that typically require human intelligence, such as understanding imagery or natural language.计算机科学的一个广泛领域,专注于创建能够执行通常需要人类智能的任务的系统,例如理解图像或自然语言。
Convolutional Neural Network (CNN) 卷积神经网络(CNN)
A type of deep learning model widely used in computer vision. In ArcGIS Pro, CNNs power capabilities such as object detection, pixel classification, and land-cover mapping.一种广泛应用于计算机视觉的深度学习模型。在ArcGIS Pro中,卷积神经网络支持目标检测、像素分类和土地覆盖制图等功能。
Deep Learning (DL) 深度学习(DL)
A subset of machine learning that uses multi-layered neural networks to learn complex patterns directly from data. In ArcGIS Pro, deep learning underpins GeoAI tools for detection, segmentation, and classification.机器学习的一个子集,它使用多层神经网络直接从数据中学习复杂模式。在ArcGIS Pro中,深度学习是用于检测、分割和分类的GeoAI工具的基础。
Deep Learning Libraries 深度学习库
Framework components (such as PyTorch or TensorFlow) required for running deep learning geoprocessing tools in ArcGIS Pro. These are installed separately via the Deep Learning Libraries Installer.在ArcGIS Pro中运行深度学习地理处理工具所需的框架组件(如PyTorch或TensorFlow)。这些组件需通过深度学习库安装程序单独安装。
Export Training Data 导出训练数据
A geoprocessing tool that prepares labeled imagery samples into a format that deep learning models can use for training.一种地理处理工具,可将带标签的图像样本处理成深度学习模型可用于训练的格式。
GeoAI (Geospatial Artificial Intelligence)地理人工智能(地理空间人工智能)
The integration of AI and GIS technologies to automate spatial analysis, detect patterns in imagery, and extract features at scale.人工智能与地理信息系统技术的融合,可实现空间分析自动化、图像模式检测以及大规模特征提取。
Hyperparameters 超参数
Settings that control how a deep learning model learns—for example, learning rate, batch size, or number of epochs. These are adjusted during model refinement in ArcGIS Pro.控制深度学习模型学习方式的设置——例如学习率、批量大小或时期数。这些设置在ArcGIS Pro中的模型优化过程中会进行调整。
Inference 推理
The process of applying a trained deep learning model to new, unseen data to detect objects, classify pixels, or extract features.将训练好的深度学习模型应用于新的、未见过的数据以检测物体、对像素进行分类或提取特征的过程。
Instance Segmentation 实例分割
A deep learning technique that identifies each object in an image and outlines its exact shape. Mask R-CNN is a common model type used in ArcGIS Pro for this purpose.一种深度学习技术,能够识别图像中的每个对象并勾勒出其精确形状。Mask R-CNN是ArcGIS Pro中用于此目的的常见模型类型。
Label Objects for Deep Learning 用于深度学习的对象标注
A tool that allows users to manually create labeled training samples by drawing features—such as wildlife or buildings—on imagery.一种允许用户通过在图像上绘制特征(如野生动物或建筑物)来手动创建带标签的训练样本的工具。
Mask R-CNN
A deep learning model architecture that detects objects and generates detailed segmentation masks for each instance. Useful for tasks requiring precise boundaries.一种深度学习模型架构,能够检测物体并为每个实例生成详细的分割掩码。适用于需要精确边界的任务。
ModelBuilder 模型构建器
A visual workflow-creation environment in ArcGIS Pro where deep learning tools can be chained together for repeatable, documented GeoAI workflows.ArcGIS Pro 中的可视化工作流创建环境,在这里深度学习工具可以链接在一起,形成可重复、有文档记录的地理人工智能工作流。
Model Metrics (model_metrics.html) 模型指标(model_metrics.html)
An output file created during training that charts training loss and validation loss, helping diagnose issues such as underfitting or overfitting.训练期间创建的输出文件,用于记录训练损失和验证损失,有助于诊断欠拟合或过拟合等问题。
Object Detection 目标检测
A computer vision technique used to locate and identify objects within imagery. In ArcGIS Pro, this is done using tools like Detect Objects Using Deep Learning.一种用于在图像中定位和识别物体的计算机视觉技术。在ArcGIS Pro中,这是通过“使用深度学习检测对象”等工具来实现的。
Semantic Search 语义搜索
An AI-enhanced search capability in ArcGIS Pro that allows users to find geoprocessing tools using natural, conversational language rather than exact tool names.ArcGIS Pro中一项增强型人工智能搜索功能,允许用户使用自然的对话语言而非精确的工具名称来查找地理处理工具。
Tool Suggestions 工具建议
An AI-powered ModelBuilder feature that recommends the most likely next tools based on the user’s workflow. Suggestions are generated locally using patterns learned from anonymized usage logs.一个由人工智能驱动的ModelBuilder功能,它能根据用户的工作流程推荐最可能需要的下一个工具。建议是利用从匿名使用日志中习得的模式在本地生成的。
Training Data 训练数据
Labeled examples used to teach a deep learning model how to recognize specific types of imagery features, such as wildlife, vegetation, or buildings.用于教导深度学习模型如何识别特定类型图像特征(如野生动物、植被或建筑物)的带标签示例。
Validation Loss 验证损失
A metric showing how well a model performs on unseen validation data. Used to detect overfitting or underfitting.一个衡量模型在未见过的验证数据上表现好坏的指标。用于检测过拟合或欠拟合。











没有回复内容